PEG Phospholipids
PEG Phospholipids
PEGylated lipids can be applied to liposomal drug formulations to prolong the plasma half-life of the drugs. Coating of the liposomal surface with polyethylene glycol would suppress the uptake of the drug by the reticuloendothelial system, thereby prolonging the half-life of the drug in the plasma.
PEG-modified lipids can also be used as emulsifiers and stabilizers of microspheres in aqueous solutions.
PEG-phospholipids
PEG phospholipids of the carbamate-linked type are resistant to hydrolysis, and therefore are used for commercial production of PEGylated liposomes. As NOF employs its own high-quality activated PEGs and phospholipids, high-quality PEG phospholipids can be supplied.
PEG-phospholipids
Activated PEG phospholipids
Phospholipid-PEG-NH2
Phospholipid-PEG-MAL
Phospholipid-PEG-NHS
Phospholipid-PEG-ALD
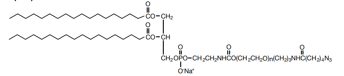
Phospholipid-PEG-AZ
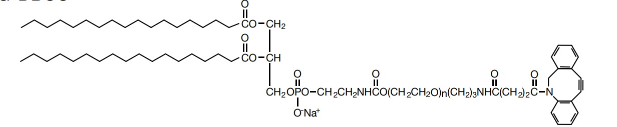
Phospholipid-PEG-DBCO


















