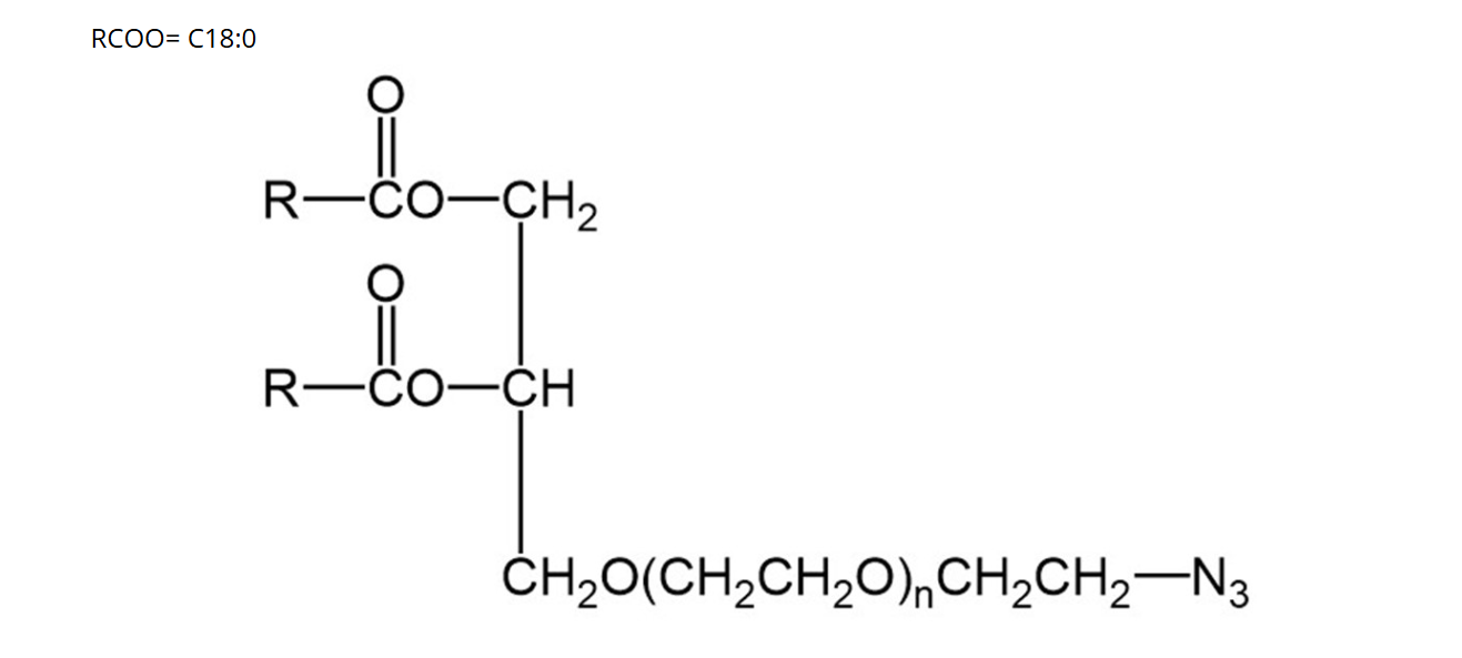
PEG diacylglycerols
PEG diacylglycerols
PEG diacylglycerols
PEG diacylglycerols don’t have ionic charge, so those are suitable for application to drugs that are vulnerable to ionic charges, especially nucleic acid medicine. We have been developing PEG diacylglycerols ahead of the world, since we have expertise in manufacturing both of high purity PEG and high purity Lipid. So our products were evaluated and adopted by many companies.
PEG diacylglycerols
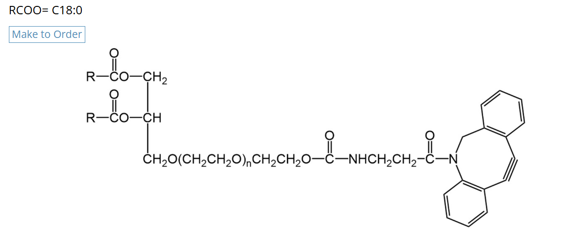
Activated PEG diacylglycerols
We have released activated PEG diacylglycerols which have the active group at PEG terminal end. The compound can provide the active targeting ability to LNP by introduction of ligand to PEG terminal end.
Activated PEG diacylglycerols




